Intelligent People Are Immoral
High IQ People Are Immoral
Intelligent people are generally known to manifest less anti-social and maladaptive traits in relation to people of lower intelligence, thereby contributing to their contrasting differences in life outcomes. However when it comes to morality, intelligence generally correlates negatively with moral motivations.
In a recent, highly publicized study by Michael Zakharin and Timothy C. Bates, higher intelligence was found to be negatively correlated to both binding (r=-.24) and individualizing (r=-.19) moral foundations.
Traditional wisdom typically suggests that the so-called 'elite human capital' is generally liberal or leftist and highly moralistic about it, seeking to impose their morality onto the world, but the reality offers a completely different picture, for there isn’t much of a difference between “binding” (traditionally right wing) and “individualizing” (traditionally left wing) moral foundations.
This challenges the notion that people of high intelligence are very moralistic as well as the notion that they operate from moral convictions as predicted by elite human capital advocates like Hanania. Certainly smart people do give complex moral justifications for their actions, which may appear on the surface that they do care about an issue deeply, but this is largely a function of their higher intellect, not of their innate moral senses. A sort of a self-delusion on behalf of the neutral observer.
Even beyond the moral foundations, this discrepancy can be observed. For instance, a large study of children in middle school has found that intelligence was not a significant predictor of the children's moral motivation and no correlation between intelligence and the experience of negative moral emotions like guilt (which is the main control culture of orientation of the West).
Unfortunately, there isn’t much research on the topic of intelligence and guilt as a whole, but I still managed to find that intelligent females feel emotions of shame and guilt less intensely than less intelligent ones, at least in relation to GMO.
Furthermore, as it turns out, intelligent people may not necessarily experience greater degree of emotions due to their ability to rationalize them, instead, in that study it was determined that emotions were statistically significantly negatively correlated with intelligence, thereby suggesting that emotions (the prime originators of morality), are less manifested in highly intelligent individuals.
This, takes us back to the conclusion of the earlier study (which found a negative correlation between moral senses and intelligence):
People with stronger reasoning skills might be less likely to accept moral values at face value and more inclined to question or reinterpret them. This fits with previous research suggesting that analytic thinking can override gut-level moral reactions. However, it runs counter to the belief that intelligent people are more morally developed or compassionate. Instead, the results suggest that smart people may be more detached from moral intuitions altogether.
In my earlier video thesis, I advanced the claim that “giga-chads” aren’t moral nor highly ideologically consistent, for during my research of top-human ability and its expression in politics, I have determined that, those with the most wealth and highest income, tend to be highly politically flexible, somewhat libertarian, and supporting whatever party or ideology that is advancing their interests the best. Here are a few samples:
Political affiliations among the wealthiest Americans in 2014:
A census survey of American billionaire’s political affiliation in 2020:
Overall American billionaire spending in 2020 and 2024, with a breakdown by Jewish and Gentile billionaire spending:
As you can see, billionaire political spending is highly flexible and inconsistent—much like their beliefs. I believe this is because intelligent individuals are not simply 'amoralistic,' but appear to lack moral motivation to a degree comparable to that of the average person.
For example, many of these highly sophisticated individuals are clearly pursuing Machiavellian strategies. And while there is no proper relationship between narcissism and psychopathy vis-à-vis intelligence, fluid intelligence significantly predicts Machiavellianism.
In other words, at least in the upper echelons of politics, one can swiftly assume that nothing like the “culture war”, principled stances or moral crusades of any sorts that are not in their personal or group interests aren’t taking place. This slop is mostly reserved for midwits who are trying to be morally or ideologically consistent. Also, since we are touching politics, it would also be interesting to note, which political ideology is less moral overall (spoiler alert it is not the far-left).
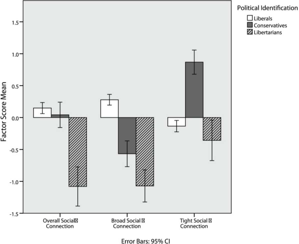
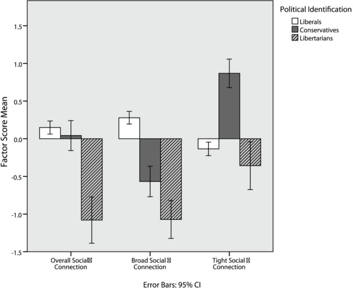
Some time earlier, Ravi Iyer et al. have conducted a massive study on the morality of Libertarians, in which they have determined, that despite their higher intellect, Libertarians score lower on every moral foundation, compared to Liberals and Conservatives.
(Taken from Emil Kirkegaard’s substack, to demonstrate how deep is the correlation between Libertarian beliefs and intelligence)
Low Libertarian score on the moral foundations is generally in line with other literature, which highlights the amoral, selfish, and atomized nature of their thought patterns and behavior.
If I were to speculate, just like Walter Lippmann has rightly observed, censorship arises when people care, while permissiveness or (negative liberties) arise when people fundamentally don’t care what other people do.
Whether it is a backward practice from a foreign culture, or an exploitative workplace practice, cultural-relativists and libertarians alike will give you all the excuses in the world as to why it should continue uninterrupted.
A recent college survey conducted by Joseph Bronski similarly found that individuals who believe the age of consent should be lower than 18 have, on average, IQ scores seven points higher than those who believe it should remain at 18 or even be raised.
This reminds me of the famous French petition calling for the abolition of the age of consent laws. It enjoyed high support among the elites, yet complete bewilderment from the rest of French’s society.
TLDR:
Ultimately, the architects of our economic and cultural landscape are be the least influenced by the moral intuitions that govern the rest of society. The most intelligent are not most virtuous—they're simply better at justifying whatever suits them. Behind many important decisions lies not moral considerations, but cold calculation or complete indifference.
Cultured, morally driven elites are the exception and not the rule. And if “elite human capital” does exist, it looks and acts something like this:
…. or this.














